假使你从未做过投资,想学习了解,又或做单不顺,投资经常资金缩水,想学技术面看盘,那么你就得去我们群内考察看看。金融行业,形态万千。我所期望的就是用自己的专业知识和多年的经验,为你的资金保驾护航。假使你此时正在纠结亏损,或者这么多策略该跟随哪一单,你可以选择观察一下我们每日群内的操作,群内的操作有理有据,实时策略单,收益也是很显著 欢迎各位同学前来考证。
金价从月度低位回弹暴涨超7.7%,但这周遭受了技术压力。若持续坚守1829一线以下,那么在普遍升势中的短时间回调威胁或持续存在,笔者看好于从黄金击穿周度开盘区间以便得到指示。伴随8月的交易步入尾声,本文笔者将更新金价适合关注的技术水平,包含隐藏的计划和策略失效水平。
黄金技术前景:在笔者在此之前的金价前景中曾提到,金价已经“在上周守稳了年度低位左右的重要支撑,关注点将转到后续的恢复行情。从操作的角度来说,预期1760一线或制约隐藏的回调,假使金价的确准备更深一步上升,则需求收盘在1830一线上方,到时更大量的焦点才倒向更深一步上升。”当周马上终结的时机,看多深陷整理,接着星期一这一次击穿便在100-日移动平均线(当前位于1810一线)遭受了压力,假使持续守稳这一压力以下,那么短时间的上涨趋势或较为脆弱;需求击穿/收盘在这一压力上方才有希望向重要的压力、即61.8%斐波破回撤/7月最高收盘水平所构筑的区域1825/29发起考验。
适合注意的是,从金价图表的120分钟图向上瞧,金价持续交投在上涨的通道内,周度开哦按区间持续维持在周度开盘支撑1781上方。若跌穿这一水平则或许威胁更大程度的回调,此情景将暴露更以下月度上涨趋势的38.2%斐波回撤/6月日K线最低收盘水平、即1759/60和1728/29,假使刷新这两个区间支撑,到时市场或许会显现隐藏的下探衰竭的痕迹。初始压力注意2012年高位、即1795一线,若击穿周度高点则暴露8月开盘水平1814和1825/29,假使刷新则或许面临市场更大的反映。星期五显现了来回洗盘的行情受于夜里22点美联储主席鲍威尔发言致使慌摸底1785后回弹推涨至最高位1819左右,星期五收盘于1816下周预期击穿1830一线。本月初的抄底多单中线完美100多个点成功捕捉,下周持续看上升。

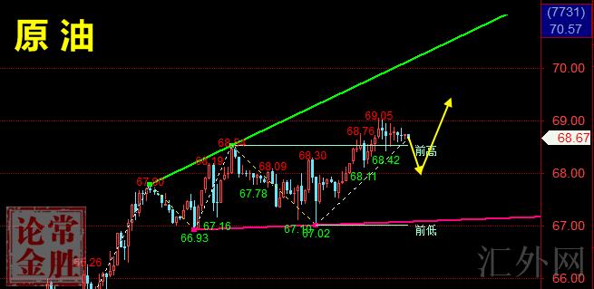
原油后市前景:原油昨日再收十字K线震荡,最高刷新68.30.最低刷新66.90.空间未放出显现,差不多保持在上一日的区域内来回拉锯震荡,上未破高,但也没有显现冲顶回调收低的走法,局部形成拉锯震荡,日K线双十字表明短时间上涨略有减缓,留心今日周线收官之走法。消息层面:因冠状受染患者增长导致了对需求的忧虑,同期墨西哥一钻井平台因发生火灾中止提供后复苏了部分生产。
4小时回踩布林道中轨轻微启稳震荡,受于日K线的收盘持平,致使短时间临时看不出多空保持,而周线已到了上周的最高位位置,短线略有收盘持平,但仍未执行形态上的转换回调,仍要留心是否完成冲顶回调。在震荡中从新转换下挫。短线大约率仍是缩减震荡走法,迈出区间等候下周。短线先关注区间内震荡,操作上临时保持区间内上缘择机空。综合来说,原油下周短线交易参考推荐以回踩低多为主,回弹高空为辅。
原油交易参考:
1、上方短时间着重注意68.8-69.3一线压力;
2、以下短时间着重注意66.5-66.0一线支撑。

大家手上有持仓被套该如何处理:
(1)以快刀斩乱麻的方式停损了结。马上所持黄金现货全盘出售,以免黄金价格持续下挫而承受更大损失。执行该种解一套策略首要适合于以投机为目的的短时间投资人。由于处在下跌趋势的卖方市场中,短时间投资人持有的时间越长,给投资人导致的损失也将越大。
(2)采取拨档子的方式执行操作。即先停损了结,随后在较低的价位时,再补进,以减轻或轧平上档解一套的损失。
(3)执行朝下摊平的操作方法。即随黄金价格下降幅度扩增反而加仓买进,进而均低购黄金成本,以待黄金价格回涨获利。但执行此项作法,务必以证实整体投资环境仍未变坏,市场并无由买方市场转入卖方市场的情形发生为前提,否则,极易深陷愈套愈多的境遇。
(4)执行以不变应万变的“不卖不赔”方法。在单子被套牢后,只要仍未脱手,就不能认定投资人已亏血本。假使手中所单子有发展展望,且整体投资环境仍未变糟,市场行情仍未脱离不明市场,则大可不必为一时套牢而惊慌失措,此时应执行的方法不是将套牢单子和盘出售,而是维持持有来以不变应万变,安静等待近价回涨解一套之时。
市场行情会随时都有震荡,在各类情形下针对各类类型的投资人笔者都有写过一部分策略与方法,具体也可在线咨询常胜论金本人,期望能有所帮助。诚然了方法是死的人是活的,要依据当时的情形灵活运用,还要依据自己的仓量大小控制好风险。我们做投资,玩的就是心理学,讲的就是头脑,没有头脑,你根本无法再这个市场立足!所谓的专业老师对你来看,导致入市的一个领路人,真正的技术指标,是“投资市场心理学”!