投资是一个长期的过程,伴伴随亏亏赚赚很正常,假使由于一时的亏损而单,失去信心或期望,我个人认为有些得不偿失,临时的亏损不代表投资的失利,只能表明这段时间对资金把控的不好或者还没有真正学将对资金的掌控能力,由于亏损失去信心,无疑是给了自己退路,给自己临时的失利找了一个托词,我想每个人都不期望如此,都期望寻到投资成功的成就感和胜利的喜悦感!我认为你当下应当调动下心情,多去归纳下以往失利的原因,想想见底如何才可做好,才可赚到钱,安静的离开只会给自己心理抹上一层阴影,心理会长期留下遗憾!如是如此,还不如大胆一点,勇敢的留下,相信自己,相信彼此,市场对每个人很公平,你导致临时还没做到。相信自己这一天并没有远下面鹏飞论金老师简单跟大家分析一下原油黄金当前的一个差不多行情。
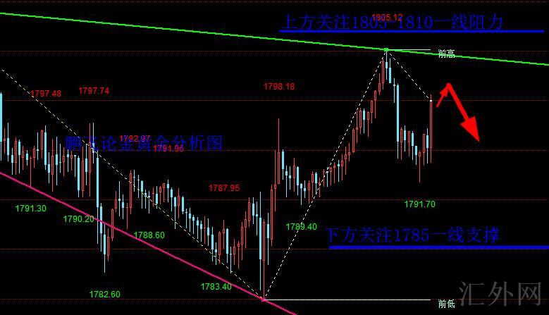
黄金当下的下挫势受于4小时行情上的背离引起的,有机会是波段下挫的开始,当下4小时布林下缘的支持是1780名置,今日着重关注此位置能否突破。只有跌穿此位置后黄金才可完全不如下跌趋势,否则很或许构建一个更大周期的盘震,从昨日的回撤强度来说,前期的击穿也是虚破而已,并没有起到本质性的决定方向的作用,而以下的支持将有机会持续保持于前期的起涨点70一线,而上方的阻力依然保持于1800以下,当前日K线均线体系错综复杂,多空能量均衡对抗,短线内很难判定方向,最佳是试图性跟随买跌等候,所以综合分析操作上鹏飞论金推荐回弹高空为主;上方注意1810-1805压力,以下注意1785-1782支撑。

原油日间居高震荡,以下仅回撤到67.3左右,欧盘时段行情便再次震荡攀爬回涨,当前立稳68上方,并测压到68.8左右,短线行情行情依旧显得偏激的。尽管当前行情立稳68之上,但更深一步上升量能依旧很难得到太多,夜里上方注意69左右阻力,这也是40日移动均线左右阻力。夜里操作上,由于目前行情立稳68上方,市场情绪略显偏激,短线保守可暂作观望,夜里依据69争夺情形,盘中再做实时策略调动。但需求切记,当前行情偏激震荡回涨,买方量能连续消耗,尽管整体偏多,也莫要再追多。
期望鹏飞老师的文章能给你导致收获,在接下去的投资里顺风顺水。鹏飞专注于现货市场十载有余,市场经验丰富,稳健操作,让你的资金得到正确的掌控和赢利,欢迎广大黄金投资人前来交流。
全方位指导时间:早7:00┄次日淩晨2:00(周末也从不停歇,可供随时咨询)
文/鹏飞论金