每到了深夜,市场上总会有不少投资朋友无法入睡,不是不困,也不是失眠,只然而是手中仍有单子,在出与不出,多空之间纠结,徘徊。作为一位分析专员,我深深能够体会到你们的那颗焦急的内心和希冀帮助的眼神,所以经常凌晨不休息的撰文章,只为茫茫网海中有缘见到文字的朋友送去一份帮助和期望,尽管你们不是我的实仓,但是我们都在做投资,而我的责任就是为你们指点迷津,我是鹏飞老师,只为你做最准确的分析布局和风险把控。理性和睿智才是投资市场生存的基础。期望咱们一起在这个市场中越走越远,你在我就在!你赢,我陪你君临天下,看一场盛世繁华;你输,我陪你附近,伴你东山再起。下面鹏飞论金老师简单跟大家分析一下原油黄金当前的一个差不多行情。
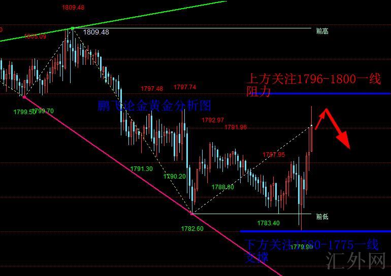
黄金当下的下挫势受于4小时行情上的背离引起的,有机会是波段下挫的开始,当下4小时布林下缘的支持是1780名置,今日着重关注此位置能否突破。只有跌穿此位置后黄金才可完全不如下跌趋势,否则很或许构建一个更大周期的盘震,从昨日的回撤强度来说,前期的击穿也是虚破而已,并没有起到本质性的决定方向的作用,而以下的支持将有机会持续保持于前期的起涨点70一线,而上方的阻力依然保持于1800以下,当前日K线均线体系错综复杂,多空能量均衡对抗,短线内很难判定方向,最佳是试图性跟随买跌等候,所以综合分析操作上鹏飞论金推荐回弹高空为主;上方注意1795-1800压力,以下注意1775-1780支撑;

从4小时图行情来说,该种调动需求显著要更强一部分。美盘原油假使先有回修,以下着重注意65.8左右支撑试探,假使突破,则再看65一线支撑回踩试探。预计短线回修后,行情或许还会有一次保持上升,但很有机会显现冲顶回调的行情,上方阻力可注意68.6-69.6左右。综合来说,原油价格昨日上升程度和强度都比较强势,技术分析已经显现了买方反一局势,调动反二日后大约率买方将显现一次保持,支撑首先注意66.2-65.8一带,上方压力位注意68.6一线突破情形,随后是69.6一线压力位。综合来说,原油今日短线交易参考鹏飞论金推荐以回踩低多为主,回弹高空为辅,上方短时间着重注意68.8-69.3一线压力,以下短时间注意66.5-67.0一线支撑。

期望鹏飞老师的文章能给你导致收获,在接下去的投资里顺风顺水。鹏飞专注于现货市场十载有余,市场经验丰富,稳健操作,让你的资金得到正确的掌控和赢利,欢迎广大黄金投资人前来交流。
全方位指导时间:早7:00┄次日淩晨2:00(周末也从不停歇,可供随时咨询)
文/鹏飞论金