首页资讯点评专家汇评文章详细

金宏宇8.25黄金遇阻1809,亚盘黄金1801左右持续空

金宏宇2021-08-25 12:03:08 快审 775

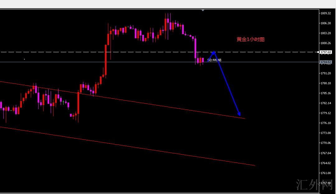
昨日黄金冲顶1809一线遇阻,线下我们提示1806一线干空按计划下挫,亚盘直接回调最低刷新1793一线,日间操作任然执行高空。

黄金回弹到1797左右空  止损 1805  计划 1787---1773

风险提示  个人推荐仅供参考

标签:

随机快审展示
加入快审,优先展示

加入VIP