鹏飞论金:8.20原油黄金多空行情分析及操作策略
交易是为了盈利的交易,不是为了赌气,也不是为了交易而交易,所以交易者务必明白价格处在什么阶段就执行什么操作!趋势不是永远的买方,也不是永远的卖方,永远是跟随市场改变而改变!务必有自己的防御体系来控制风险,交易0.01和1手心态完全不一样,严格止损,否则盈利100单只需1单亏损就归零,风险控制第一名,交易不是赌博,切勿上头!交易之道:紧随趋势,宏观共振,不要孤注一掷,铁一般的交易纪律,欢迎一起交流技术、方法、心得。诚恳的立场用心写每一篇分析文章。10年黄金操盘经验,力求精准牢靠分析每天行情,帮你少走弯路!呢?下面鹏飞论金老师简单跟大家分析一下原油黄金当前的一个差不多行情。
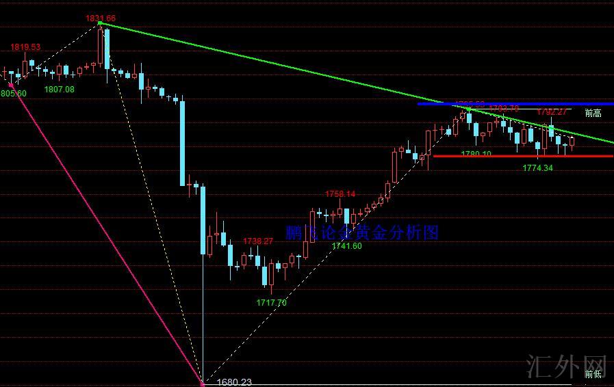
黄金昨日(8月19号)探高回调收低,最高上探1792.20一线遇阻,试探短线图布林道上缘,同期探高未破1795高位,收盘时段回调到1780以下收盘。日K线收盘一根小阴K线。日K线处在局部震荡当中,接连三个交易日的小K线整理,诚然在此之前连阳回弹后面,进入钝化震荡,一是靠近了技术分析的压力,二是美元的走高一定程度消弱了黄金的上涨量能。今日周线收官。局部有震荡回调收低的痕迹,着重留心1795.50高位,此位不收回,买方连续性不强。

4小时布道平行收口,昨日摸高布林道上缘遇阻,当前依旧一个收口震荡的走法,小时图布林道也是缩减当中,短线临时步入震荡,临时多空连续性不定,日间短线操作保持在1795.50区间之内看震荡回调,突破再调动思路,依旧卡住上缘1790左右择机短线空。该种震荡缩减行情。在未击穿区间上缘前,保持在上缘以下操作即可,至于空间均为边走边看,首个计划依旧看回调下缘1775.朝下击穿再适当朝下看
黄金操作策略:1789-1790依旧空 止损1795.5 计划1780-1775.
4小时二浪助推的破低下探,空间仍未完全放出完毕,昨日虽有停顿同,但并不是到底,小阳线回弹修正后面不看空又一次的下探,连阴后面配合阳线回弹修正,4小时均线指标已走成卖方发散,这段卖方趋势也会连续。 小时图下探回涨立稳63.90高位,短线没有形成极弱的放量保持,下探收低配合震荡的修正手法。震荡式下挫导致加大了短线把握难度,波段性看跌趋势困难不大,回弹高空是短线配合波段的操作手法。一旦修正完毕再下挫就会形成增速放量。同期把握切入好高位,高点的空做波段,短线的空及时落袋。昨日规划65.0空未给机会,直接下挫后,欧元兑美元盘时段在63.50-63.70买跌,提早于62.80-62.90手动落袋,受于昨日30分钟显现了轻微启稳修正态势。所以低点的空单然而分恋战,今日恐怕仍有更不错的位置,早盘压力64.50-64.70先空,若见65.0-65.30间则配合波段性二次布局空。

原油操作策略:若见65.0-65.30波段空 止损66.35 计划58.0-56.0.
期望鹏飞老师的文章能给你导致收获,在接下去的投资里顺风顺水。鹏飞专注于现货市场十载有余,市场经验丰富,稳健操作,让你的资金得到正确的掌控和赢利,欢迎广大黄金投资人前来交流。
全方位指导时间:早7:00┄次日淩晨2:00(周末也从不停歇,可供随时咨询)
文/鹏飞论金