鹏飞论金:8.20原油黄金最新行情分析周线收官策略指导
当你每天仍在市场中到处寻求文章看推荐的时机,证明一点,你仍在亏损,要么就是对自己操作手法不理想,不自信。要么就是长时间的亏损致使心理上已经迷失了方向。那么我们把资金拿来做投资是为了增长更大的收益、并非是以亏损为目的, 真正的行情凭你自己没有技术、没有一套成熟的管理方案,你又能把握住多少收益呢?
所以每次写分析,我都期望目睹的朋友能有所收获,在这个市场上,平静的状况下其实暗波汹涌,不少投资朋友轻易的进入,往往遍体鳞伤,每天都有不少朋友寻到我,谋求帮助,但是许多的导致看完分析后快速的寻到下一篇持续看。我期望我能帮助许多的人,就犹如我自己对该份工作的定位是服务一样,人与人之间是相互的,信任是合作的开始,假使你在投资道路上有所困惑和迷茫可与老师交流。下面鹏飞论金老师简单跟大家分析一下原油黄金当前的一个差不多行情。
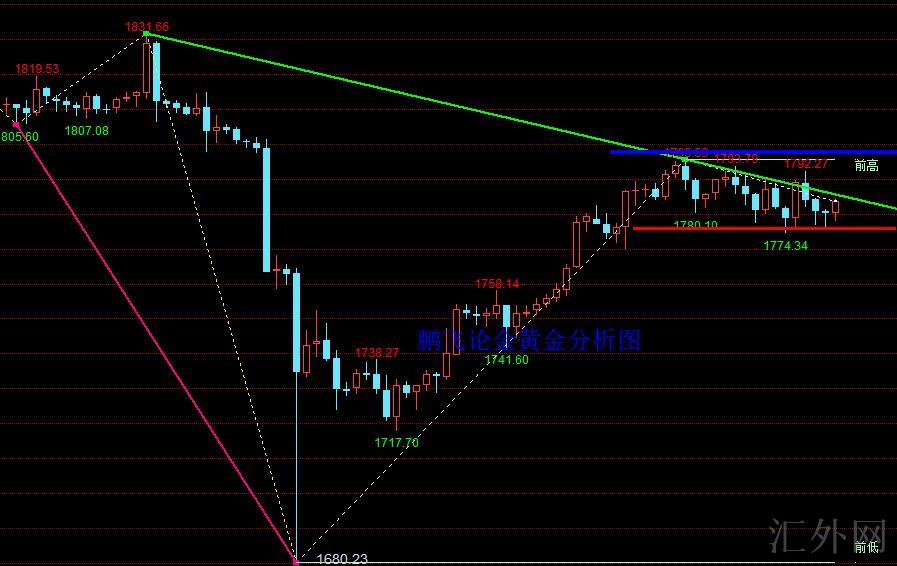
黄金层面,星期四金价总的呈现大幅震荡的状态,当日价格最差于1774.37名置,最好于1792.36名置,收盘于1779.75名置。回顾昨日黄金交易市场表现,早间开盘后价格迅速下挫并又一次刷新几日低位位置,随后欧盘价格推涨,美盘又一次遇阻下挫,我们昨日1788区域空按计划获利。夜里收盘于低点,总的价格保持大区间区间震荡,此外上方抑制也是较重,短线层面看我们依旧空为主,但是当前顾虑到美指有希望修正,所以针对黄金今日我们空仅在核心位置布局,上方着重注意1790-91区间压力,价格到位后还要依据事实形态选择能否入场,今日也同期谨防价格又一次冲顶,短线支撑当前于1775-1765,上方压力于1790-1795-1810区域。在没有突破1795名置以前我们临时保持震荡看空思路对待即可。

黄金具体操作策略:黄金1790-91区间空,止损1796,计划1780-1775(突破后看1765)
从日K线来说,原油长时间拉锯震荡后面,保持在技术分析68.10的卖方防守之下形成蓄势突破。昨日已强调过,日K线均线指标形成“泰山压顶”之势。随时都有放量击穿的机会,在现阶段布局空单均为为了看破65.0做波段准备。而昨日提早完成击穿,日K线双顶破颈线形成增速。日K线大阴线收低在65.0以下,形成有效击穿颈线。
后市持续跟进看跌即可。鹏飞论金觉得4小时本星期一直依托布林带中轨遇阻蓄势,完成了突破颈线,今日是增速的放出节奏,不消除亚欧盘横向整理,但终有新低保持。趋势上比较坚定看跌。1小时图形成了依托67.50高位的下探通道。跌穿65.0后面,此位是顶底转换成压力。

原油短线交易参考推荐:以回弹高空为主,回踩低多为辅,上方短时间着重注意64.0-64.5一线压力,以下短时间着重注意62.0-61.5一线支撑。
期望鹏飞老师的文章能给你导致收获,在接下去的投资里顺风顺水。鹏飞专注于现货市场十载有余,市场经验丰富,稳健操作,让你的资金得到正确的掌控和赢利,欢迎广大黄金投资人前来交流。
全方位指导时间:早7:00┄次日淩晨2:00(周末也从不停歇,可供随时咨询)
文/鹏飞论金