点击上方头像获取名家联系方式!
尽管保守不一定是最佳的战略,但冲动只会使你终结得更快。断臂尽管痛苦但能让你生存,你不能控制输赢,但能控制输赢的多寡,应当懂得在何时放弃,同样要明白在什么时候守在,别指望狗屎运能给你导致胜利,任什么时候候都要维持清醒的头脑和平和的心态,冷静的头脑和出众的分析这才是根本。假使找不足桌子上的鱼,那么你就是那条鱼,风雨过后民众才感慨谁是谁非,行情涨完才发现谁对谁错,同样的点位开仓不同方向的单子,每个人都觉得自己是个例外,但市场永远不或许让鱼和熊掌兼备,行情不是宋祖英的嘴,永远猜不足他将让谁形成下一个倒霉蛋。
上星期五,黄金现货从1830上方高点回调,最多失守1810关键点位,随后有所回涨,星期一(8月2号)黄金遇阻走跌,但弱势美元制约了降幅。黄金日K线级别双顶结构,而且是从1916开始下挫后的回弹双顶,随时可以二次下挫摸底,行情上卖方行情。
黄金分析:黄金现货或二次下探,技术分析来说,上周黄金价格冲顶回调,周线图升幅0.67%,以往三周形成“多方炮”组合,但均线体系的抑制更适合重视。黄金日K线级别双顶结构,而且是从1916开始下挫后的回弹双顶,随时可以二次下挫摸底,行情上卖方行情。
从4H周期图来说,现货金上星期五考验高峰没有成功,显现大幅回调,跌穿了整个上升幅度的50%的位置,表明前高区间的阻力重大;从MACD指标向上瞧,快慢线在零轴上方形成死叉,是卖方信号;从日K线形态向上瞧,大阳线后面显现大阴线,也预示后市有较高的几率走翻转形态。日间阻力1820美元,上方阻力1828美元,以下支撑1797美元。

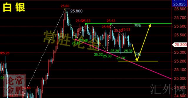
白银行情分析:白银周线收一根穿头破脚的阳纺锤体,表明银价终止了下挫趋势,转入震荡局势。伴随美元指数显现大程度下挫的趋势,白银将显现先强后弱的区域震荡运行行情。预期震荡区间在25.00-26.75区间.同期,在短时间买方情绪浓烈的助推下,有希望先往上探到26.70左右。随后遭受卖方阻击,转为震荡局势。
今天依据黄金分割轴心点指标体系表明,日间三关口键位置,以下支撑为25.36-25.28-25.18,上方压力位25.58-25.65-25.76.中轴水平25.47。今日银价在回撤上星期四升幅的50%后,有希望得到支撑,再次展开强劲击穿上升行情。上方压力可向上调整到26-26.30区间。
上周4小时kd曲线完成了上升和下挫的切换,当前跌向20-50刻度区间。但是因为于市场处在底部回涨的买方行情态势,预期kd曲线在刷新20刻度后,将快速回涨。持续提示白银的强势回弹行情。
压力25.6 支撑25.1

责任编辑:常胜论金/ 目前事态明朗,黄金,白银TD、纸黄金,沪银无不是跟随环球趋势而行,投资,无非就是顺势者昌,逆势者亡!谋事在人、成事在天,顺势而为,落袋为安。当我们由于行情失利而止损的时机,不要畏惧行情,勇敢的去面对,冷静的去分析。心不乱,则神不乱,神不乱,则气不乱,有心有神有气,信心不丢,我们就大胆的去随心操作,相信自己,最后我们一定就能找回我们曾经失去的东西!