什么是混合策略纳什均衡
混合策略纳什均衡:在n个参与人的博弈G={
S1 ,...
Sn;
u1 ,...
un}中,混合策略组合

组成一个纳什均衡,假使对于所有的i=1,2...,n下式成立:

也就是说,假使一个策略组合使任何一个参与人的策略均为相对于其余参与人的策略的最佳策略,这个策略就组成一个纳什均衡,不管这个策略是混合策略依旧纯策略。
混合策略纳什均衡是面对其余博弈者选择的未知性的一个理性对策,其首要特质是作为混合策略一部分的每一个纯策稍有相同的期望值,否则,一个博弈者会选择那个期望值最高的策略而消除所有其余策略,这代表着原初的状态不是一个均衡。
解混合策略纳什均衡的方法
1、最大化支付法:即最大化各个参与人的效用函数。
2、支付相等法:依据前面分析的猜硬币博弈中参与人的策略的思路,每个参与人的混合策略都使其余参与人的任何纯策略的期望支付相等,所以,解混合策略纳什均衡可以令参与人的各个纯策略支付相等,组成方程组求解。
">编辑]混合策略纳什均衡的经典博弈——猜谜博弈
两个局中人A、B手里各拿一枚硬币,每人可以选择正面往上或反面往上,然后同期亮出,假使两枚硬币正反面相同,B付给A1元钱,假使两枚硬币正反面不相同,A付给B1元钱。在该种情形下,局中人A、B如何选择呢?下图给出这个博弈的双变量收益矩阵。
这是一个两人零和博弈,在每一个结局中一方所得即为另一方所失,即两个局中人的收益之和正好等于零。在双变量收益矩阵中采取画线的方法,在这个博弈中找不足纯策略纳什均衡。

那么,猜谜博弈能否存在混合策略纳什均衡呢?1950年纳什证明了任何有限博弈都起码存在一个纳什均衡(包含纯策略纳什均衡和混合策略纳什均衡)。
猜谜博弈不存在纯策略纳什均衡,那么依据纳什的证明一定存在混合策略纳什均衡。
混合策略纳什均衡的求解方法
2×2双量矩阵博弈局中人1,2的收益矩阵分别是


以X=(x,1-x),Y=(y,1-y)分别表明局中人1,2的混合策略,其中0≤x≤1,0≤y≤1
令
Q=a-b-C+d,q=d-b(2.1)
R=a'-b'-C'+d',r=d'-C’(2.2)
则博弈的均衡点依据不同Q,q,R,r的值由下面的(1)和(2)两组不等式确定:
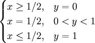
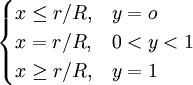
(1)当Q=o且q=o时,o≤x≤1,o≤y≤1(2.3)
当Q=0,q>0时,x=o,o≤y≤1(2.4)
当Q=0,q
当Q>0时,
(2.6)当Q<0时,
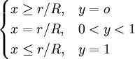
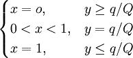
(2.7)(2)当R=0且r=0时,0≤x≤1,0≤y≤1(2.8)当R=0且r>0时,0≤x≤1,y=0(2.9)当R=0且r<0时,0≤x≤1,y=1(2.10)当R>0时,
(2.11)当R<0时,
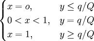
(2.12)将不等式(2.3)至式(2.7)中满足博弈条件的一组与式(2.8)至式(2.12)中满足条件的一组联立起来,即可求得与均衡点相对应的菇值和Y值。下面用双变量矩阵博弈混合策略纳什均衡的求解方法来寻求猜谜博弈的纳什均衡。设猜谜博弈局中人A与局中人B的收益矩阵分别是
X=(x,1-x)表明局中人A的混合策略,其中0≤x≤1,x表明选择正面。Y=(y,1-y)表明局中人B的混合策略,其中0≤y≤1,Y表明选择正面。利用式(2.1)和式(2.2)计算Q,q,R,r:Q=4>0,q=2R=-4<0,r=-2将这些数值代入式(2.6)和式(2.12),得到
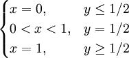
(2.13)
(2.14)解这些不等式,求得博弈的纳什均衡(x,y)=(1/2,1/2)(2.15)即局中人A与局中人B的混合策略(x,Y)=((x,1-x),(y,1-y))=((1/2,1/2),(1/2,1/2))(2.16)式(2.16)表明局中人A以1/2的几率选择正面,同期也以1/2的几率选择反面;同样局中人B也以1/2的几率选择正面,以1/2的几率选择反面。这个混合策略纳什均衡的事实背景是:假使猜谜博弈一遍又一遍地重复很多次,两个局中人每次独立地等或许(即几率为1/2)从正面和反面两个纯策略中选择一个作为本轮的行动,那么从平均意义上来看,两个局中人的期望收益均是0,谁也不输谁也不赢,均衡显现为一种握手言和的结局。">编辑]混合策略纳什均衡博弈与其余均衡的关系严格占优策略均衡、重复刨去的占优策略均衡、纯策略纳什均衡和混合策略纳什均衡。一般将上述四种均衡统称为纳什均衡。在这四种均衡概念中每种均衡依次是前一种均衡的扩展。前一种均衡是后一种均衡的特殊情况。严格占优策略均衡是重复刨去的占优策略均衡的特殊情况;重复刨去的占优策略均衡是纯策略纳什均衡的特殊情况;纯策略纳什均衡是混合策略纳什均衡的特殊情况。假使将完全信息静态博弈中存在某种均衡的所有博弈定义为一个集合,那就存在前一种均衡的博弈集合是后一种均衡的博弈集合的子集。完全信息静态博弈四种均衡概念之间的关系可以用图2—13表明。
参考文献↑ 1.0 1.1 刘京娟.博弈论与税收激励